
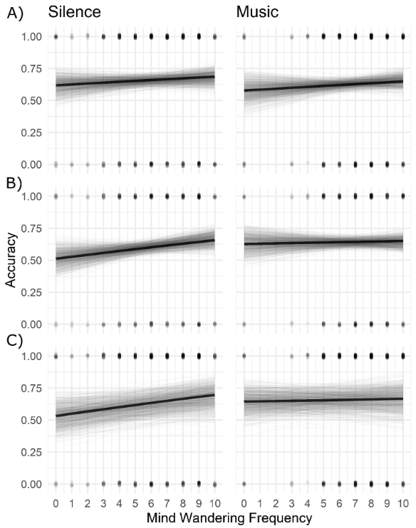
Research has shown that rest is beneficial for memory consolidation. However, periods of rest are also prone to evoke mind wandering (MW) episodes, which have been observed to be an obstacle to learning. As such, an apparent paradox arises from these observations: individuals benefit from rest to consolidate memories, but those periods of rest are likely to elicit MW episodes, which are seen as impeding consolidation. Using the caught probe paradigm, we measured the effect of MW frequency over performance in two dot pattern classification tasks after two types of periods of rest: rest in silence and rest with preferred music. We found that MW and rest conditions interact to predict accuracy in a Novel or Old categorisation task, but not in a Category Classification task. Although rest with music was predictive of better post-rest task performance in the Novel or Old task, MW frequency was related with higher accuracy only when participants rested in silence. What is more, we found that participants’ attitudes towards music reliably moderated the effect of MW over the Novel or Old task accuracy. Together, these results show that MW during rest is potentially beneficial for short-term memory consolidation and does not necessarily interfere with it.